SERVICE ADJUSTMENTS
- The main power is 90~260V/50/60Hz. Be careful when you debug and equip.
- Don’t short any two soldering points, which should not be shorted and don’t touch any component, which should not be touched.
- Pull out plug before any adjustment to chassis.
- For safety reasons, all components equipped or replaced should be identical with BOM.
- Must be warm up for 30 minutes or more and degauss CRT thoroughly with demagnetizer before alignment.
- The data of EEPROM must be stored before the adjustment for main chassis.
Small “-” screwdriver.
Screwdriver without inductance.
Pattern Generator.
DC regulator power supply.
Digital Voltmeter.
Sweep signal generator.
20MHz 2-channel Oscilloscope.
Power adjustmentConnect a 100W bulb cross C616. Then connect AC 220V power to CN601. If the bulb light, the voltage is prescriptive, and there is no unconventionality, then the power is OK, else be repaired.
FACTORY MODE [Service Mode]
Click on pictures to zoom
Vertical size and pin cushion adjustment (KEY 2)
- Receive 50HZ cross hatch pattern. Set TV standard status, adjust 5VSL to obtain half of the cross hatch, adjust 5SCL to obtain picture’s vertical pin cushion a good status, adjust 5VSH to obtain picture’s vertical center at the center of CRT screen in factory mode.
- Receive 50HZ monoscope pattern. Set TV standard status,. Adjust 5VAM to obtain picture’s vertical redisplay ratio more than 90% in factory mode.
- Receive 60HZ cross hatch pattern. Set TV standard status. Adjust 6VSL to obtain half of the cross hatch, adjust 6SCL to obtain picture’s vertical pin cushion a good status. Adjust 6VSH to obtain picture’s vertical center at the center of CRT screen in factory mode.
- Receive 60HZ monoscope pattern. Set TV standard status. Adjust 6VAM to obtain picture’s vertical redisplay ratio more than 90% in factory mode.
- If necessary, adjust Horizontal Center and EW again.
- Receive 50HZ RGB or YUV cross hatch pattern. Set TV standard status. Adjust 5RGH to obtain picture’s vertical center at the center of CRT screen in factory mode. (OPTION).
- Receive 60HZ RGB or YUV cross hatch pattern. Set TV standard status. Adjust 6RGH to obtain picture’s vertical center at the center of CRT screen in factory. (OPTION).
- Receive 50HZ monoscope PATTERN. Set TV standard status. Adjust 5HSH to obtain horizontal center at the center of CRT screen.
- Receive 50HZ cross hatch pattern. Set TV standard status. Adjust 5EWW, 5PWW, 5UCR, 5LCR, 5PAR, 5BOW, 5EWT to obtain picture’s Horizontal redisplay ratio more than 90% in factory mode.
- Receive 60HZ monoscope PATTERN. Set TV standard status. Adjust 6HSH to obtain horizontal center at the center of CRT screen.
- Receive 60HZ cross hatch pattern. Set TV standard status. Adjust 6EWW, 6PWW, 6URC, 6LCR, 6BOW, 6EWT to obtain picture’s Horizontal redisplay ratio more than 90% in factory mode.
- Menu OSD position adjustment. Received 50/60Hz cross hatch pattern. Set TV standard status. Press KEY 2 in factory mode, adjust 5VOF /6VOF and HOF item, to obtain menu OSD at the center of CRT screen.
- LOGO position adjustment. Receive 50/60Hz cross hatch pattern. Set TV standard status. Press KEY 7 in factory mode, adjust XMIN, XMAX, YMIN, and YMAX item, to obtain LAGO at the center up to 1/3 of CRT screen.
- TELETEXT OSD position adjust. Received 50/60HZ TELETEXT signal. Set TV standard status. Press KEY 7 in factory in factory mode, adjust TXMI and 5TYM/6TYM item, to obtain INDEX at the center of CRT screen.
- Normally, 5P60 can auto adjust white balance, but for some CRT need to adjust white balance carefully by hand. Set BRIGHTNESS and
- CONTRAST at normal status, receive GREY SCAL and entering factory mode press KEY 3, set WPR at 31, adjust WPG and WPR to obtain white balance.
When in repairing, we can replace E2PROM by other empty or not empty E2PROM, but you must initialize E2PROM to avoid unknown things.
- Press remote control KEY CLOCK, P.M. in turn to entering factory mode.
- Press remote control KEY 8 to entering INIT menu, then press key PROG +, you can see “INIT BUSY” waiting for about 5 seconds till “BUSY” disappeared, then POWER OFF and ON by main power E2PROM initialization in completed.
- Setting the data in E2PROM. When in manufacturing, first you read the data from an good E2PROM 24C08, then WRITE to other E2PROM 24C08.
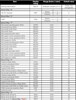
This appendix shows information about service items that are available. The table list all possible available service items with its.











